今日成果推介:
Ziye Wang, Yakefu Reyimuaji*, Nijiati Yalikun. Z4symmetric inverse seesaw model for neutrino masses and FIMP dark matter[J]. Physical Review D, 2025, Volume 112: 055041.
文章链接:
https://journals.aps.org/prd/abstract/10.1103/3tvj-qmld
研究领域:
中微子物理、暗物质、费米子质量等级、对撞机唯象学与暴胀宇宙学
研究背景/选题意义/研究价值:
粒子物理的标准模型无法解释中微子具有微小质量这一实验事实,同时也无法揭示构成宇宙大部分物质的暗物质的本质。这两个问题是当今高能物理学的核心谜题。传统理论通常单独研究中微子质量起源或暗物质,而能够在同一理论框架下同时、自然地解释这两大现象的模型,不仅具有重要的理论价值,也能为未来的高能物理实验提供探测目标。本研究旨在构建一个最小化的新物理模型,通过引入离散对称性及其自发破缺,将中微子质量与暗物质的产生机制紧密联系起来。
主要研究内容:
本研究自主构建了一个基于Z4对称性自发破缺的理论框架,在标准模型基础上引入右手中微子、额外费米子单态和一个复标量场,从而实现对中微子质量与暗物质问题的统一描述。模型的核心机制基于逆跷跷板模型,该机制不依赖于传统的高能标引入,而是通过TeV尺度新物理与微小Yukawa耦合的共同作用,自然生成中微子质量(图1)、混合角(图2)、中微子质量平方差(图3),所得结果与当前实验观测高度吻合。此外,模型对轻子CP破坏相位作出明确预言(图4),为将来相关实验提供了可检验的理论依据。

图1. 理论预言与实验数据在中微子质量平方差上的对比。散点分布与实验置信区间(实线、虚线和点划线分别表示1σ, 2σ, 3σ置信区间)高度重合,表明该模型能成功再现观测到的中微子振荡参数。

图2. 中微子混合角之间的理论关联与实验对比。模型预言(散点)完整覆盖实验允许1σ至 3σ置信区间(背景实、虚和点划线区域),表明模型对中微子混合具有高度自洽的描述能力。

图3.中微子质量平方差与混合角的关系。模型的理论预言(彩色散点)与实验观测的允许范围(背景中的实、虚、点划线区域)高度吻合。

图4. 狄拉克CP破坏相位δCP与中微子混合角sin²θ₁₂、sin²θ₁₃和sin²θ₂₃的关联。模型预言(散点)显示δCP的值稳定集中在π附近,为未来中微子实验检验该模型提供一个清晰、可验证的预言。
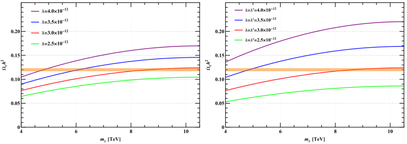
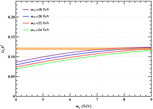
在对称性破缺过程中,Z4对称性所残存的Z2对称性保证了暗物质候选者(最轻的Z2-奇费米子)具有充分的稳定性。该暗物质粒子主要通过“冻结产生”(Freeze-in)机制生成,其与标准模型粒子之间的相互作用极其微弱,在早期宇宙中从未与热浴达到热平衡。因此,暗物质的数密度主要通过已退耦的右手中微子的衰变与散射过程逐渐累积,最终所形成的残留丰度与当前宇宙学观测高度吻合(图5和6)。这种非热产生机制也使其天然地规避了当前直接探测实验的严格限制。进一步研究表明,为重现观测到的暗物质残留密度,其质量mc需与右手中微子质量mN在特定范围内协同调节,反映出两者在粒子物理与宇宙演化之间的内在联系。

图5.暗物质残留密度与质量的关系。理论预言表明,在特定的暗物质质量与微小的耦合强度下(λ, λ' ~ 10⁻¹²),其残留密度可精确吻合普朗克卫星的观测结果(橙色区域),从而为宇宙暗物质的起源提供了一种解释。

图6. 暗物质残留密度随其质量的变化关系,其中右手中微子质量mN取不同值。理论曲线(实线)显示,为满足普朗克卫生观测(橙色区域),暗物质质量需与mN协同变化,暗示了两者之间的紧密关联,并标定了模型的可行参数空间。
研究结论:
本研究提出一个基于自发破缺Z4对称性的最小化新物理模型,在逆跷跷板机制下统一实现中微子质量生成与暗物质的freeze-in产生。数值分析表明,该模型不仅能完美拟合当前中微子振荡实验数据,也可在TeV能标参数空间内精确再现暗物质残留密度。本研究为在下一代中微子实验与对撞机中探寻超出标准模型的新物理信号,提供了清晰的理论依据与可检验的预言。
主要创新点:
1.理论框架创新。首次构建了基于Z4对称性的逆跷跷板模型,利用对称性破缺后残余的Z2稳定暗物质候选者,实现了中微子质量与暗物质起源的“一石二鸟”式解决方案。
2.产生机制融合。将“逆跷跷板”与freeze-in这两种备受关注的新物理机制在一个简单、自洽的模型中融合,揭示了中微子微小质量与暗物质微弱相互作用之间可能存在的内在关联。
3.预言可检验性。模型的新物理粒子主要处于TeV能标,且中微子部分的CP破坏相位有明确预言,使其成为高度可检验的理论,为未来的实验探索提供理论参考。
作者简介:
文章第一作者:汪子烨,硕士,主要从事中微子物理、暗物质研究。
通讯作者:热依木阿吉·亚克甫,副教授、硕士研究生导师,意大利国际理论物理中心(ICTP)与国际高等研究院联合培养的天体粒子物理专业博士,中国科公司理论物理研究所博士后。现任体育平台官网教师。主持国家自然科学基金项目一项、自治区自然科学基金面上项目一项、校级项目一项。在Journal of High Energy Physics、Physical Review D、Journal of Cosmology and Astroparticle Physics、Physics of the Dark Universe、Physics Letters B等国内外高水平SCI期刊上发表论文17篇。主要研究方向包括:中微子物理、暗物质、费米子质量等级、对撞机唯象学与暴胀宇宙学。
稿件来源:体育平台官网
编辑:汪子烨 热依木阿吉·亚克甫
责编:李蕊
审核:吕国梁